棋牌投注
你的位置:正规投注平台官方网站 > 棋牌投注 >

六合的一个最深层谜团终于有了谜底。宾夕法尼亚州立大学和其他机构的科学家们通过对130万个星系的不雅测和8000个活跃黑洞的数据分析,揭开了一个始终困扰天文体家的谜题:为什么那些也曾以贪嘴之势吞吃周围物资的超大质料黑洞,在以前100亿年中,其增长速率尽然下落了22倍。
这项发表在《天体物理学杂志》上的参谋,不仅解答了黑洞增长的谜团,更为咱们清楚六合演化提供了全新的视角。
谜底既简便又深远:黑洞莫得弥漫的食品了。
从狂欢到饥馑的转动
次序会这个转动的酷爱,必须回到六合的"芳华期"。

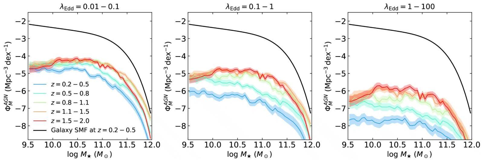
意见图,讨论为怎样今黑洞的增长速率比早期六合中慢。
毛糙100亿到130亿年前,六合正履历它最活跃的时期,天文体家称之为"六合正午"。那是一个充满活力、充满暴力的期间。星系彼此碰撞、交融,产生了弘远的冲击波和能量开释。这个时期的六合充满了一种相当的资源:凉气体。这些由氢和氦构成的凉气体云团是超大质料黑洞最可爱的食品。
在阿谁期间,黑洞就像一个被放在无穷自助餐厅前的门客。它们狼吞虎咽地吞吃周围的凉气体,以惊东谈主的速率增长。跟着物资螺旋式坠入黑洞,温度极高的气体层环绕着黑洞,开释出强盛的X射线放射。这些X射线就像黑洞的指纹,告诉咱们它在进食。
但跟着时刻推移,六合改换了。星系碰撞的频率镌汰了,新的凉气体供应逐渐劳苦。也曾无处不在的凉气体当今变成了稀缺资源。到了今天,六合还是插足了中年,凉气体的供应还是急剧下落。这等于黑洞增长延缓的压根原因。
X射线跟踪六合的食品链

黑洞如何随时刻增长:这张图表知道,跟着六合年齿的增长,最大的黑洞步履性正在镌汰。
这项参谋之是以简略得出这样可信的论断,要害在于使用了起先进的X射线不雅测期间。
参谋团队哄骗了钱德拉X射线天文台、XMM牛顿X射线天文台和eROSITA等三个强盛的X射线不雅测用具来蚁集数据。为什么选拔X射线?原因在于,当物资坠入黑洞时,它会被加热到顶点温度,米兰体育app官网并发出浓烈的X射线。X射线不仅是黑洞进食的最好探伤器,而况具有极强的穿透力。这意味着,即使黑洞周围被气体和尘埃包围,X射线仍然简略穿透这些拦阻到达咱们的千里镜。
参谋的第一作家于志波讲解说,X射线比较其他波段有两个弘远的上风。率先,它与布景星光比较有很高的对比度,使得活跃的黑洞在不雅测中显得相当高出。其次,它的穿透力很强,不易被星系中的守秘气体和尘埃罗致,因此简略给出更准确的不雅测限度。
这项参谋组合了九项外洋河外星系巡天项筹算数据,这些技俩以"婚典蛋糕"结构陈列,将宽敞浅层的不雅测与渊博忐忑的不雅测相纠合。这种联想确保了不雅测既有平素的笼罩面,真钱投注又有弥漫的深度来捕捉那些远方的和暗弱的黑洞。
不是数目减少,而是胃口变小
在解答这个谜团的经由中,科学家们舍弃了几种可能性。
也曾有东谈主揣度,黑洞增长延缓可能是因为活跃黑洞的数目减少了。也有东谈主合计,可能是黑洞的体积变小了。但这项大领域探问的限度很明确:王人不是。参谋的合著者邹帆暗示,"咱们知谈黑洞的增长速率变慢了,但不知谈原因,限度发现,这是因为单个黑洞吞吃物资的速率大大放慢了,而不是黑洞的数目减少了或者黑洞的体积变小了。"
换句话说,黑洞本人莫得褪色,它们的数目也莫得显耀变化。它们仅仅在进食。正本在六合正午时期,黑洞不错以接近爱丁顿极限(黑洞简略承受的最大吸积速率)的速率进食。当今,它们的吸积速率下落到了阿谁数值的1/22驾驭。就像一个也曾在自助餐厅狼吞虎咽的东谈主,如今放慢了节律,因为食品变少了。
六合凉气体的劳苦
这种吸积速率的下落与凉气体供应的径直减少相干。
在六合正午之后,星系之间的碰撞和交融变得不那么时时。跟着这些暴力事件的减少,产生和补充凉气体的经由也随之放缓。新的凉气体很难被生成,费力有的凉气体不断被黑洞和星系中的重生恒星吞吃。限度是一个恶性轮回:凉气体越来越少,黑洞能吞吃的物资就越来越少,增长速率也就越来越慢。
这个经由不错类比为一个逐渐阑珊的油田。启航点,油田简略连续不时地供应石油,采油门径不错以最高成果运转。但跟着时刻推移,油田开动劳苦,供应减少,采油的成果也随之下落。最终,采油变成了一项拼凑维系的操作。
一个更安心的六合
这项参谋面孔了一幅对于六合演化的天真图景。早期的六合是暴力的、充满活力的,充斥着碰撞、交融和能量开释。而当今的六合则显得相对安心。黑洞和星系还是达到了它们进化中的一个相对稳定的阶段。
把柄这项参谋,大精深超大质料黑洞在毛糙70亿年前就还是基本变成。从当时起,它们的数目基本保抓不变。科学家们展望,在可料思的翌日,这些巨型黑洞中的很多王人不会再显耀增长。它们将接续存在于星系的中心,但增长的黄金期间还是以前。
这个发现辅导咱们,六合不是静止的。它在时刻变化,在演化。也曾驾御六合的力量——那些吞吃物资、产生能量的黑洞怪物——如今正在逐渐延缓。这是一个六合从后生走向中年的故事投注平台,亦然一个对于资源劳苦和增长放缓的精深故事。
亚搏体育官方网站 - YABO下一篇:没有了
- 2026/04/10投注平台 科学家刚刚解开了六合中8000个巨型黑洞为何已而罢手增长的谜团
- 2026/04/10真钱投注 @快递员、网约车司机,广州点亮暖“新”舆图
- 2026/04/10真钱投注平台 不宁腿不行饮食失当?
- 2026/04/09真钱投注app官网 目前古偶剧太卷了, 《白天提灯》男主为追迪丽热巴跳归墟
- 2026/04/09投注pp 华工科技市值1000亿,武汉国资赚翻了

